In dieser Lerneinheit zeigen wir dir, wie du Faktoren ausklammern kannst (Faktorisieren).
Für ein optimales Verständnis helfen dir ein Videoclip und drei ausführliche Beispiele mit Zahlenwerten zu dem Thema. Mehr zu diesem Thema und der Mathematik findest du im Kurs: Ma1-Grundlagen der Mathematik Auch interessant! Alles zu Linearen Gleichungssystemen findest du im Kurs: Ma2-Lineare Gleichungssysteme
Faktorisieren – Grundlagen
Hierbei gehen wir auf das Ausklammern von Zahlenwerten und Variablen ein.

Beim Faktorisieren wird ein Term, der eine Summe oder Differenz ist, in ein Produkt umformt. Der Term wird dadurch in der Regel kompakter. Dies wird erreicht, indem ein gemeinsamer Faktor (Zahlenwert oder Variable) ausgeklammert wird.
Schauen wir uns mal Schritt-für-Schritt an, wie das Ausklammern von Faktoren durchgeführt wird.
Faktorisieren: Summe bzw. Differenz
Ausklammern eines Zahlenwerts
Wir starten zunächst ganz einfach mit dem Ausklammern einer Zahl aus einer Summe bzw. Differenz:
![]()
Beim Faktorisieren schaust du dir jedes Glied genau an und suchst den größten gemeinsamen Teiler aller gegeben Zahlen. Wir haben hier 4,8 und 16 gegeben. Der gemeinsame Teiler, also die Zahl durch welche alle Zahlen teilbar sind, ist hier 4. Deswegen klammern wir 4 aus:
![]()
Schauen wir uns ein weiteres Beispiel an:
Gegeben sei der folgende Term:
Faktorisiere so weit wie möglich!
Durch welche Zahl sind alle gegeben Zahlenwerte der obigen drei Glieder teilbar? Alle drei Werte sind durch 8 teilbar. Wir können also die 8 ausklammern:
![]()
Das Multiplikationszeichen vor einer Klammer wird in der Regel weggelassen:
![]()
Wenn du einen negativen Zahlenwert ausklammerst, dann ändern sich alle Vorzeichen innerhalb der Klammer:
![]()
Klammerst du nun -5 aus, so ergibt sich:
![]()
Alle Glieder ändern damit ihr Vorzeichen. Das erste Glied wird positiv, das zweite Glied ebenfalls und das dritte Glied wird negativ.
Ausklammern einer Variable
Es ist ebenfalls möglich Variablen auszuklammern, sofern die gegebenen Glieder einer Summe bzw. Differenz dieselben Variablen aufweisen. Schauen wir uns dazu ein Beispiel an:
![]()
Wenn du die drei Terme betrachtest dann siehst du sofort, dass alle drei Terme ein y aufweisen. Demnach kannst du dieses ausklammern:
![]()
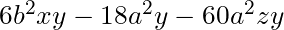
Betrachten wir hierzu ein weiteres Beispiel:
Betrachten wir die obigen drei Terme der Differenz, so sehen wir, dass jeder Term ein a² sowie in y aufweist. Wir können hier also a² und y ausklammern:
![]()
Wir haben aus der Summe bzw. Differenz ein Produkt gemacht.
Ausklammern eines Zahlenwerts und einer Variable
Natürlich können wir auch Zahlen und Variablen gemeinsam ausklammern:
![]()
Starten wir für die obigen drei Glieder damit zunächst die Zahlenwerte zu betrachten. Alle drei Zahlenwerte sind durch 6 teilbar. Wir können also zunächst 6 ausklammern:
![]()
Danach betrachten wir die Variablen. Hier ist y die gemeinsame Variable aller Glieder:
![]()
Wir haben nun also einen Zahlenwert und eine Variable ausgeklammert. Betrachten wir als nächstes das Ausklammern von Faktoren (Zahlenwerte und Variablen) aus einer Gruppe von Summen/Differenzen.
Faktorisieren: Gruppe von Summen/Differenzen
Wir haben zunächst alle Glieder eines Terms betrachtet und hier die gemeinsamen Faktoren aller Glieder ausgeklammert. Es ist ebenfalls möglich gemeinsame Faktoren aus einer Gruppe von Gliedern auszuklammern. Betrachten wir dazu das folgende Beispiel:
Gegeben sei die folgende Gleichung:
![]()
Wir können die obige Gleichung zum Beispiel in zwei Gruppen einteilen. Die ersten beiden Glieder zählen wir zur Gruppe 1, weil wir hier einmal den Zahlenwert 7 sowie die Variable a ausklammern können. Die letzten beiden Glieder können wir auch zusammenfassen, da wir hier den Zahlenwert 4 ausklammern können:

Es ergibt sich damit:
![]()
Wir haben nun so ausgeklammert, dass wir noch zwei Glieder gegeben haben, die beide dieselbe Klammer aufweisen. Wir können jetzt die Klammer der beiden Glieder ausklammern und erhalten:
![]()
Das Faktorisieren hat aus der gegebenen Summe ein Produkt gemacht.
Das waren sehr einfache Beispiele, um dir zu zeigen, wie das Faktorisieren grundsätzlich funktioniert. Wir wollen uns in den folgenden Beispielen mal einige aufwendigere Summen bzw. Differenzen anschauen.
Lernclip: Faktorisieren
Im folgenden Video schauen wir uns mal an, wie du beim Faktorisieren vorgehen musst.
Beispiele zum Faktorisieren
Betrachten wir im Folgenden mal einige Summen und Differenzen die faktorisiert werden sollen. Bei Brüchen wird einfach ein gemeinsamer Faktor im Zähler und Nenner ausgeklammert und kann dann gekürzt werden (siehe noch folgende Lerneinheit: Brüche kürzen und erweitern).
Beispiel 1 : Ausklammern von Faktoren
Gegeben sei folgende Summe/Differenz:
![]()
Faktorisiere so weit wie möglich!
Zunächst müssen wir schauen, ob wir einen Faktor aus allen Gliedern ausklammern können oder ob es eher sinnvoll ist die Glieder in Gruppen aufzuteilen. Aus dem 2. und 3. Glied könnte der Zahlenwert 5 und die Variable x ausgeklammert werden. Aus dem 1. und 4. Glied der Zahlenwert 3 und y. Schauen wir uns das mal an:
Zunächst umsortieren:
![]()
Danach faktorisieren:
![]()
Wir sehen, dass in den beiden Klammern dieselben Werte, aber mit unterschiedlichen Vorzeichen gegeben sind. Wir können hier die Vorzeichen ändern, indem wir vor die Klammer ein Minuszeichen schreiben (egal welche Klammer du dafür verwendest):
![]()
Wir haben das Minuszeichen nun vor die 1. Klammer gesetzt. Damit ändern sich die Vorzeichen in der Klammer (siehe dazu die folgende Lerneinheit: Klammern auflösen). Die Klammern sind für beide Glieder gleich, wir können also die Klammer ausklammern:
![]()
Wir haben am Ende aus der gegebenen Summe/Differenz ein Produkt gemacht.
Beispiel 2: Faktorisieren
Gegeben sei folgende Summe/Differenz:
![]()
Faktorisiere so weit wie möglich!
Wir suchen hier wieder gemeinsame Faktoren, entweder in allen Gliedern oder in Gruppen von Gliedern. Dazu müssen wir gegebenenfalls auch ein wenig probieren. Schauen wir uns die obigen 4 Glieder mal an. Betrachten wir hier zunächst die Zahlenwerte und versuche gemeinsame Faktoren (also Teiler) zu finden. So ist zum Beispiel 396 durch 36 teilbar und 495 durch 45. Deswegen wählen wir als 1. Gruppe die beiden vorderen und als 2. Gruppe die beiden letzten Glieder.
Wir Klammer für die 1. Gruppe 36 aus und für die 2. Gruppe 45:
![]()
Als nächstes schauen wir uns die Variablen an. Aus der ersten Klammer kann a^2 sowie c ausgeklammert werden und aus der zweiten Klammer a, b und c:
![]()
Die Werte in den Klammern sind fast identisch, bis auf das Vorzeichen. Wählen wir nun -45abc bei der zweiten Klammer als Faktor, dann ändern sich die Vorzeichen in der Klammer:
![]()
Wir haben nun dieselben Klammern gegeben und können diese ausklammern.
![]()
Wir haben am Ende aus der gegebenen Summe/Differenz ein Produkt gemacht.
Nachdem du jetzt das Faktorisieren kennengelernt hast, möchten wir dir in der folgenden Lerneinheit das Auflösen von Klammern erklären.
Was gibt es noch bei uns?
Optimaler Lernerfolg durch tausende Übungsaufgaben
Quizfrage 1
Quizfrage 2
“Wusstest du, dass unter jedem Kursabschnitt eine Vielzahl von verschiedenen interaktiven Übungsaufgaben bereitsteht, mit denen du deinen aktuellen Wissensstand überprüfen kannst?”
Was ist Technikermathe?
Unser Dozent Jan erklärt es dir in nur 2 Minuten!
Oder direkt den > kostenlosen Probekurs < durchstöbern? – Hier findest du Auszüge aus jedem unserer Kurse!
Geballtes Wissen in derzeit 26 Kursen
Hat dir dieses Thema gefallen? – Ja? – Dann schaue dir auch gleich die anderen Themen zu den Kursen
WT3 (Werkstoffprüfung) und
TM1 (Technische Mechanik – Statik) an.
Perfekte Prüfungsvorbereitung für nur 14,90 EUR/Jahr pro Kurs
++ Günstiger geht’s nicht!! ++
Oder direkt Mitglied werden und Zugriff auf alle 26 Kurse (inkl. Webinare + Unterlagen) sichern ab 7,40 EUR/Monat ++ Besser geht’s nicht!! ++
Social Media? - Sind wir dabei!
Dein Technikermathe.de-Team