Das Superpositionsprinzip besagt, dass wir das Problem in einfachere Teilprobleme zerlegen, für welche wir die Lösung bereits kennen. Durch Überlagerung (= Superposition) dieser bekannten Lösungen, erhalten wir die Gesamtlösung ohne komplizierte Berechnungen durchzuführen.
In diesem Fall betrachten wir einen Balken mit zwei Einzelkräften und zerlegen diesen Balken in zwei Balken mit jeweils einer Einzelkraft. Die Biegelinien für die beiden Teilprobleme lesen wir aus Tabellenwerken ab und überlagen diese Biegelinien, so dass wir am Ende zu der Lösung gelangen, ohne komplizierte Berechnungen durchführen zu müssen.
Aufgabe: Kragarm mit zwei Einzelkräften
Gegeben sei der obige Balken mit den zwei vertikalen Einzelkräften F1 und F2. Der Balken ist auf der linken Seite fest eingespannt und hat auf der rechten Seite ein freies Ende. Die Biegesteifigkeit EI sei konstant.
a) Bestimme die Biegelinien für beide Bereiche!
b) Bestimme die Durchbiegung beim Kraftangriff F1 und F2.
Lösung a) Biegelinien
Wir betrachten den Kragarm mit den folgenden Annahmen:
- Die Länge des Balkens beträgt L.
- Eine vertikale Kraft F1 wirkt an der Stelle x = a und eine vertikale Kraft F2 wirkt an der Stelle x = L.
- Der Balken ist am linken Ende (bei x=0) eingespannt, das rechte Ende (bei x = L) ist frei.
- Die Biegesteifigkeit des Balkens ist konstant und wird mit EI bezeichnet, wobei E der Elastizitätsmodul und I das Flächenmoment 2. Ordnung des Balkens ist.
Die übliche Vorgehensweise wäre jetzt:
- Auflagerkräfte berechnen.
- Schnittbereiche bestimmen und Schnittmoment berechnen. Dazu müssen wir den Balken in zwei Schnittbereiche zerlegen. Einen Schnittbereich vor der Kraft F1 und einen nach der Kraft F1.
- Biegelinien für die beiden Bereiche aus Integration von
bestimmen.
Wir wenden hier aber das Superpositionsprinzip an, indem wir Tabellenwerke für jeden Schnittbereich hinzuziehen.
Bereich 1 und 2: Kraft F1
In der obigen Grafik ist ein Kragarm mit einer vertikalen Einzelkraft am freien Ende gegeben. Wir betrachten nun zunächst nur die Kraft F1 und die Auswirkungen auf die Biegelinie (siehe auch vorangegangene Lerneinheit).
Die Kraft F1 übt einen direkt einen Einfluss auf den 1. Bereich (0 ≤ x ≤ a) aus. Hier ergibt sich eine kubische Funktion bis zum Kraftangriff von F1. Im zweiten Bereich ist keine Kraft mehr gegeben, aber die Biegelinie verläuft weiter linear mit dem Neigungswinkel -φ der sich bei x = a ergibt.
Wir beginnen zunächst die Biegelinie für den 1. Bereich aus der folgenden Tabelle (siehe Übersicht Biegelinien) zu entnehmen:
Wir können also die Biegelinie für den 1. Bereich übernehmen:

Wir müssen hier aber anstelle der Länge l die Länge a berücksichtigen, da der 1.Bereich eine Länge von a aufweist. Die Biegelinie im 1. Bereich ist infolge des Kraftangriffs F1 eine kubische Funktion.
Wir betrachten als nächstes den Bereich 2.
Wir haben im 1. Bereich eine kubische Funktion gegeben, da hier ein Schnittmoment M infolge der Kraft F1 auftritt. Da im 2. Bereich nach x = a keine Kraft und kein Moment mehr an den Balken angreift, muss die Biegelinie linear verlaufen, weil das Moment M = 0 ist.
![]()
![]()
![]()
Damit ergibt sich eine lineare Biegelinie im 2.Bereich.
Wir suchen also die lineare Biegelinie im Bereich a ≤ x ≤ L infolge der Kraft F1. Wir können eine lineare Funktion über die allgemeine Funktionsgleichung bestimmen:
![]()
Die Steigung m ist nichts anderes als die Ableitung der Biegelinie. Diese Steigung m entspricht der Steigung der Biegelinie am Ende des 1. Bereichs, denn es gilt:
![]()
Das bedeutet, dass die Ableitung der Biegelinie im 1. Bereich gleich der Ableitung der Biegelinie im 2. Bereich ist, wenn wir x = a betrachten.
Wir können hier also die Biegelinie des 1. Bereichs heranziehen, ableiten und dann x = a einsetzen. Wir haben dann den Neigungswinkel gegeben, mit dem sich der Balken im Bereich 2 weiter neigt.
Diesen Neigungswinkel erhalten wir, wenn wir die 1. Ableitung der Biegelinie aus dem 1. Bereich bilden:


Einsetzen von x = a, weil wir den Neigungswinkel am Ende des 1. Bereichs suchen:

Der Neigungswinkel entspricht der 1. Ableitung und damit der Steigung der Funktion:

Wir können den Neigungswinkel auch aus der obigen Tabelle ablesen:
Wir haben hier den Neigungswinkel
gegeben. Wir müssen hier l = a setzen und erhalten:

Wir können die Steigung m nun in die allgemeine Funktionsgleichung einsetzen:
![]()

Wir betrachten hier den 2. Bereich, der bei x = a startet. Wir müssen dementsprechend x ersetzen durch
:

Wir suchen zum Schluss noch den Schnittpunkt mit der z-Achse für den 2. Bereich. Die Biegelinie des 2. Bereichs
beginnt dort, wo die Biegelinie des 1. Bereichs
endet. Damit ziehen wir wieder die Gleichung des 1. Bereichs heran und setzen x = a ein:

Wir können nun die Biegelinie für den 2. Bereich aufstellen:

Zusammenfassen ergibt:
![]()
Dies entspricht genau der Biegelinien aus der folgenden Tabelle:
Wir haben die Biegelinien für den obigen Lastfall also bereits in der Tabelle im Abschnitt: (TM2-13a-9) Übersicht der Biegelinien gegeben. Ziel war es aber zu zeigen, wie die Biegelinie des 2. Bereichs aus der Biegelinie des 1. Bereichs ermittelt wird.
Bereich 1 und 2: Kraft F2
Für die Kraft F2 können wir ebenfalls die folgende Tabelle heranziehen:
Hier können wir die Gleichung für beide Bereiche übernehmen:

Diese Gleichung gilt hier für beide Bereiche, wobei für Bereich 1 nur Werte von 0 ≤ x ≤ a eingesetzt werden dürfen und für Bereich 2 nur Werte von a ≤ x ≤ L.
Biegelinie für beide Bereiche
Wir können nun für die beiden Bereiche die Biegelinien aufstellen.
Bereich 1 (0 ≤ x ≤ a):
![]()

Bereich 2 (a ≤ x ≤ L):
![]()

Lösung b) Durchbiegung
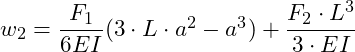
Wir wollen zunächst die Absenkung bei x = a bestimmen, dort wo die Kraft F1 angreift. Hier können wir nun entweder den Bereich 1 oder 2 heranziehen, da bei x = a der Übergang der beiden Bereiche gegeben ist. Dazu setzen wir x = a in w1 ein:


Als nächstes betrachten wir die Absenkung bei x = L, dort wo die Kraft F2 angreift:


Einsetzen von Werten
Betrachten wir die folgenden Werte:
,
,
,
, ![]()

![]()
Die Absenkung bei x = a, dort wo die Kraft F1 angreift beträgt 2,021 mm.

![]()
Was gibt es noch bei uns?
Optimaler Lernerfolg durch tausende Übungsaufgaben
Quizfrage 1
“Wusstest du, dass unter jedem Kursabschnitt eine Vielzahl von verschiedenen interaktiven Übungsaufgaben bereitsteht, mit denen du deinen aktuellen Wissensstand überprüfen kannst?”
Was ist Technikermathe?
Unser Dozent Jan erklärt es dir in nur 2 Minuten!
Oder direkt den > kostenlosen Probekurs < durchstöbern? – Hier findest du Auszüge aus jedem unserer Kurse!
Geballtes Wissen in derzeit 26 Kursen
Hat dir dieses Thema gefallen? – Ja? – Dann schaue dir auch gleich die anderen Themen zu den Kursen
WT3 (Werkstoffprüfung) und
TM1 (Technische Mechanik – Statik) an.
Perfekte Prüfungsvorbereitung für nur 14,90 EUR/Jahr pro Kurs
++ Günstiger geht’s nicht!! ++
Oder direkt Mitglied werden und Zugriff auf alle 26 Kurse (inkl. Webinare + Unterlagen) sichern ab 7,40 EUR/Monat ++ Besser geht’s nicht!! ++
Social Media? - Sind wir dabei!
Dein Technikermathe.de-Team
Die Absenkung bei x = L, dort wo die Kraft F2 angreift beträgt 8,02 mm.
![TM2 - Superposition: Biegelinie mit zwei Einzelkräften [Beispiel, Formeln, Lösung] 1 Superposition, Einzelkraft, Einzelkräfte, Kargarm, Einspannung, Kargträger, Biegelinie](https://technikermathe.de/wp-content/uploads/2025/02/superposition-biegelinie-einzelkraft2.png)
![TM2 - Superposition: Biegelinie mit zwei Einzelkräften [Beispiel, Formeln, Lösung] 2 Superposition, Einzelkraft, Einzelkräfte, Kargarm, Einspannung, Kargträger, Biegelinie, Neigungswinkel](https://technikermathe.de/wp-content/uploads/2025/02/superposition-biegelinie-einzelkraft2-2.png)
![TM2 - Superposition: Biegelinie mit zwei Einzelkräften [Beispiel, Formeln, Lösung] 4 Biegelinie, Superposition, Kragarm, Einspannung, Einzelkraft, Neigungswinkel](https://technikermathe.de/wp-content/uploads/2025/01/superposition-biegelinie-einzelkraft-6.png)